Содержимое: chud_3_v13_10.zip (34.97 KB)
Загружен: 15.08.2012

Положительные отзывы: 0
Отрицательные отзывы: 0

Продано: 15
Возвраты: 0

Продавец: Chudesenko
информация о продавце и его товарах

Задать вопрос

Cкидка постоянным покупателям! Если общая сумма ваших покупок у продавца больше чем:

$1 скидка 1%
$3 скидка 2%
$5 скидка 3%
$30 скидка 5%
$50 скидка 7%
$100 скидка 10%
$250 скидка 15%
89 ₽
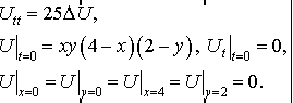
Решение задачи 10.13 (задача 10 вариант 13) по высшей математике из раздела: Уравнения Математической Физики (УМФ). Задачник: Чудесенко В.Ф. Сборник заданий по специальным курсам высшей математики (типовые расчеты). — Москва: Высшая школа. Решение подходит для изданий: 1983 (1994, 2005-2009) гг..
Решение задачи 1.13 (задача 1 вариант 13) по высшей математике из раздела: Уравнения Математической Физики (УМФ). Задачник: Чудесенко В.Ф. Сборник заданий по специальным курсам высшей математики (типовые расчеты). — Москва: Высшая школа. Решение подходит для изданий: 1983 (1994, 2005-2009) гг..
Отзывов от покупателей не поступало