Содержимое: chud_3_v16_12.zip (33.01 KB)
Загружен: 16.05.2013

Положительные отзывы: 2
Отрицательные отзывы: 1

Продано: 24
Возвраты: 0

Продавец: Chudesenko
информация о продавце и его товарах

Задать вопрос

Cкидка постоянным покупателям! Если общая сумма ваших покупок у продавца больше чем:

$1 скидка 1%
$3 скидка 2%
$5 скидка 3%
$30 скидка 5%
$50 скидка 7%
$100 скидка 10%
$250 скидка 15%
97 ₽
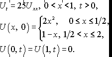
Решение задачи 12.16 (задача 12 вариант 16) по высшей математике из раздела: Уравнения Математической Физики (УМФ). Задачник: Чудесенко В.Ф. Сборник заданий по специальным курсам высшей математики (типовые расчеты). — Москва: Высшая школа. Решение подходит для изданий: 1983 (1994, 2005-2009) гг..
После оплаты вы получите архив zip. Решение выполнено в электронном виде и сохранено в виде картинки в формате tif. Открывается любой программой. Разрешение 300 dpi. Решение неоднократно сдавалось в ВУЗах России. Все недочёты исправлены.

Буду очень благодарна, если Вы оставите ПОЛОЖИТЕЛЬНЫЙ ОТЗЫВ после покупки.
СПАСИБО!
05.06.2020 21:54:19
В задаче в предпоследней строке отрезок до 2 обозначен, мне нужно было по условию до 1. Скачала, чтобы самой пере решить на основе этой задачи. А оказалось в задаче решено тоже до 1. Спасибо большое
26.05.2020 22:45:17
Качество плохое
13.05.2015 1:50:50
Интеграл S1 необходимо посчитать с одними пределами(0;0,5).В решении подставляют уже другие пределы(0;2,5).