Содержимое: chud_3_v17_06.zip (85.90 KB)
Загружен: 15.08.2012

Положительные отзывы: 0
Отрицательные отзывы: 0

Продано: 5
Возвраты: 0

Продавец: Chudesenko
информация о продавце и его товарах

Задать вопрос

Cкидка постоянным покупателям! Если общая сумма ваших покупок у продавца больше чем:

$1 скидка 1%
$3 скидка 2%
$5 скидка 3%
$30 скидка 5%
$50 скидка 7%
$100 скидка 10%
$250 скидка 15%
~ 95 ₽
Точная сумма — на странице оплаты
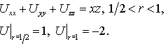
Решение задачи 6.17 (задача 6 вариант 17) по высшей математике из раздела: Уравнения Математической Физики (УМФ). Задачник: Чудесенко В.Ф. Сборник заданий по специальным курсам высшей математики (типовые расчеты). — Москва: Высшая школа. Решение подходит для изданий: 1983 (1994, 2005-2009) гг..
После оплаты вы получите архив zip. Решение выполнено в электронном виде и сохранено в виде картинки в формате tif. Открывается любой программой. Разрешение 300 dpi. Решение неоднократно сдавалось в ВУЗах России. Все недочёты исправлены.

Буду очень благодарна, если Вы оставите ПОЛОЖИТЕЛЬНЫЙ ОТЗЫВ после покупки.
СПАСИБО!
Отзывов от покупателей не поступало