Содержимое: k1-12.zip (28.07 KB)
Загружен: 07.06.2013

Положительные отзывы: 0
Отрицательные отзывы: 0

Продано: 8
Возвраты: 0

Продавец: TerMaster
информация о продавце и его товарах

Задать вопрос

Cкидка постоянным покупателям! Если общая сумма ваших покупок у продавца больше чем:

$1 скидка 1%
$3 скидка 2%
$5 скидка 3%
$15 скидка 5%
$30 скидка 7%
$50 скидка 10%
$250 скидка 15%
~ 70 ₽
Точная сумма — на странице оплаты
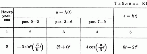
Сразу после оплаты Вы получите архив с решением задачи К1 Вариант 12 (рисунок 1 условие 2) из методички Тарг С.М. 1989 года для студентов-заочников. Задача выполнена в формате word, запакована в архив zip.
"Методические указания и контрольные задания для студентов-заочников машиностроительных, строительных, транспортных, приборостроительных специальностей высших учебных заведений / Под ред. проф. С.М.Тарга, - М.: Высшая школа, 1989 г. Издание четвертое."

Если Вам понравилось решение и вы его успешно сдали, будьте добры оставьте положительный отзыв.
Спасибо.
Отзывов от покупателей не поступало