Содержимое: d3-03.zip (23.88 KB)
Загружен: 28.06.2013

Положительные отзывы: 0
Отрицательные отзывы: 0

Продано: 3
Возвраты: 0

Продавец: TerMaster
информация о продавце и его товарах

Задать вопрос

Cкидка постоянным покупателям! Если общая сумма ваших покупок у продавца больше чем:

$1 скидка 1%
$3 скидка 2%
$5 скидка 3%
$15 скидка 5%
$30 скидка 7%
$50 скидка 10%
$250 скидка 15%
62.87 ₽
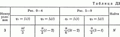
Решение задачи по теормеху из Тарга С.М. Д3 В03. Условие задачи: Механическая система состоит из грузов D1 массой m1 = 2 кг и D2 массой m2 = 6 кг и из прямоугольной вертикальной плиты массой m3 = 12 кг, движущейся вдоль горизонтальных направляющих (рис. Д3.0 — Д3.9, табл. Д3). В момент времени t0 = 0, когда система находилась в покое, под действием внутренних сил грузы начинают двигаться по желобам, представляющим собой окружности радиусов r = 0,4 м и R = 0,8 м. При движении грузов угол фи1 = ∟A1C3D1 изменяется по закону фи1 = f1(t), а угол фи2 = ∟A2C3D2 — по закону фи2 = f2(t). В табл. ДЗ эти зависимости даны отдельно для рис. 0—4 и 5—9, где фи выражено в радианах, t — в секундах. Считая грузы материальными точками и пренебрегая всеми сопротивлениями, определить закон изменения со временем величины, указанной в таблице в столбце «Найти», т. е. x3 = t3(t) и N = f(t), где x3 — координата центра C3 плиты (зависимость x3 = f3(t) определяет закон движения плиты), N — полная нормальная реакция направляющих.
После оплаты Вы получите архив с решением задачи по теоретической механике Д3 Вариант 03 (рисунок 0 условие 3) из решебника к методичке Тарг С.М. 1989 года для студентов-заочников машиностроительных, строительных, транспортных, приборостроительных специальностей высших учебных заведений. Задача выполнена в формате word, запакована в архив zip.

Спасибо, что выбрали Нас. Буду очень признателен, если Вы после сдачи оставите положительный отзыв.
Заранее спасибо.
Отзывов от покупателей не поступало