Содержимое: k1-98.zip (28.23 KB)
Загружен: 03.01.2020

Положительные отзывы: 1
Отрицательные отзывы: 0

Продано: 1
Возвраты: 0

Продавец: TerMaster
информация о продавце и его товарах

Задать вопрос

Cкидка постоянным покупателям! Если общая сумма ваших покупок у продавца больше чем:

$1 скидка 1%
$3 скидка 2%
$5 скидка 3%
$15 скидка 5%
$30 скидка 7%
$50 скидка 10%
$250 скидка 15%
~ 66.87 ₽
Точная сумма — на странице оплаты
Оплатив задание, Вы получите решение задачи К1 В98 (рисунок 9 условие 8) по теормеху из решебника Тарга С.М. 1988 года для студентов-заочников. Решение выполнено по методическим указаниям и контрольным заданиям для заочников энергетических, горных, металлургических, электроприборостроения и автоматизации, технологических специальностей, а также геологических, электротехнических, электронной техники и автоматики, химико-технологических и инженерно-экономических специальностей ВУЗов. Решение оформлено в формате word, запаковано в архив zip.
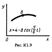
Решение задачи К1 Вариант 98 по теормеху из Тарга С.М. 1988 г.. Условие к задаче из раздела Кинематика 1 (стр. 18 в методичке Тарг С.М.): Точка B движется в плоскости xy (рис. К1.0-К1.9, табл. К1; траектория точки на рисунках показана условно). Закон движения точки задан уравнениями: x = f1(t), y = f2(t), где x и y выражены в сантиметрах, t – в секундах. Найти уравнение траектории; для момента времени t1 = 1 с определить скорость и ускорение точки, а также ее касательное ускорение и радиус кривизны в соответствующей точке траектории. Зависимость x = f1(t) указана непосредственно на рисунках, а зависимость y = f2(t) дана в табл. К1 (для рис. 0-2 в столбце 2, для рис. 3-6 в столбце 3, для рис. 7-9 в столбце 4).

Буду очень благодарен, если после успешной сдачи работы Вы вернетесь на сайт и оставите положительный отзыв. Поверьте, для меня это очень Важно.
Заранее спасибо.
25.05.2019 23:08:46
Хорошее подробное решение