Содержимое: 9v-IDZ6.1.pdf (105.20 KB)
Загружен: 08.07.2025

Положительные отзывы: 1
Отрицательные отзывы: 0

Продано: 19
Возвраты: 0

~ 140 ₽
Точная сумма — на странице оплаты
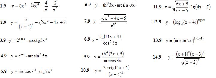
1. Продифференцировать данные функции (1-14)
14 Примеров
Подробное решение. Оформлено в PDF-формате для удобства просмотра решений ИДЗ на смартфонах и ПК.
В MS Word (doc-формате) высылается дополнительно.
28.12.2014 20:45:08
+