Содержимое: 1v-IDZ5.2.pdf (81.92 KB)
Загружен: 08.07.2025

Положительные отзывы: 2
Отрицательные отзывы: 0

Продано: 17
Возвраты: 0

~ 80 ₽
Точная сумма — на странице оплаты
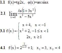
1. Доказать, что функции f(x) и φ(x) при x→0 являются бесконечно малыми одного порядка малости.
2. Найти пределы, используя эквивалентные бесконечно малые функции.
3. Исследовать данные функции на непрерывность и построить их графики.
4. Исследовать данные функции на непрерывность в указанных точках
Подробное решение. Оформлено в PDF-формате для удобства просмотра решений ИДЗ на смартфонах и ПК.
В MS Word (doc-формате) высылается дополнительно.
08.10.2023 20:30:26
Все отлично, расписано полное решение
24.10.2016 6:00:04
Все подробно расписано, спасибо!