Содержимое: 9v-IDZ5.2.pdf (74.96 KB)
Загружен: 08.07.2025

Положительные отзывы: 1
Отрицательные отзывы: 0

Продано: 8
Возвраты: 0

~ 80 ₽
Точная сумма — на странице оплаты
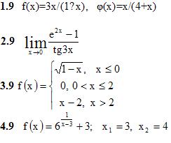
1. Доказать, что функции f(x) и φ(x) при x→0 являются бесконечно малыми одного порядка малости.
2. Найти пределы, используя эквивалентные бесконечно малые функции.
3. Исследовать данные функции на непрерывность и построить их графики.
4. Исследовать данные функции на непрерывность в указанных точках
Подробное решение. Оформлено в PDF-формате для удобства просмотра решений ИДЗ на смартфонах и ПК.
В MS Word (doc-формате) высылается дополнительно.
14.01.2015 8:11:22
Все пришло, все хоршо.