Содержимое: 21v-IDZ5.1.pdf (85.54 KB)
Загружен: 08.07.2025

Положительные отзывы: 0
Отрицательные отзывы: 0

Продано: 7
Возвраты: 0

~ 100 ₽
Точная сумма — на странице оплаты
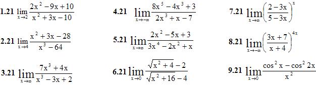
1.Найти указанные пределы (1-9) пределов
9 примеров
Подробное решение. Оформлено в PDF-формате для удобства просмотра решений ИДЗ на смартфонах и ПК.
В MS Word (doc-формате) высылается дополнительно.
Отзывов от покупателей не поступало