Содержимое: 3v-IDZ6.3.pdf (94.20 KB)
Загружен: 08.07.2025

Положительные отзывы: 0
Отрицательные отзывы: 0

Продано: 6
Возвраты: 0

~ 130 ₽
Точная сумма — на странице оплаты
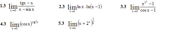
1. Найтиуказанные пределы, используя правило Лопиталя. (1-5)
2. С помощьюдифференциала приближенно вычислить данные величины и оценить допущенную
относительную погрешность (с точностью до двух знаков после запятой). (1-2)
6.3 4√16,64

7.3 e0,2
Подробное решение. Оформлено в PDF-формате для удобства просмотра решений ИДЗ на смартфонах и ПК.
В MS Word (doc-формате) высылается дополнительно.
Отзывов от покупателей не поступало