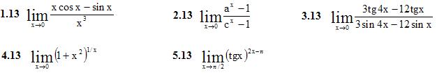
1. Найти указанные пределы, используя правило Лопиталя. (1-5)
2. С помощью дифференциала приближенно вычислить данные величины и оценить допущенную
относительную погрешность (с точностью до двух знаков после запятой). (1-2)
6.13 5√200
7.13 arctg1,03
Подробное решение. Оформлено в PDF-формате для удобства просмотра решений ИДЗ на смартфонах и ПК.
В MS Word (doc-формате) высылается дополнительно.
Отзывов от покупателей не поступало