Содержимое: 18v-IDZ8.1.pdf (112.37 KB)
Загружен: 08.07.2025

Положительные отзывы: 0
Отрицательные отзывы: 0

Продано: 16
Возвраты: 0

~ 90 ₽
Точная сумма — на странице оплаты
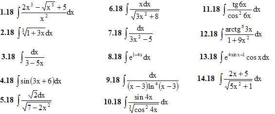
1. Найти неопределенные интегралы (в заданиях 1-5 результаты интегрирования проверить дифференцированием). (1-14)
14 примеров
Подробное решение. Оформлено в PDF-формате для удобства просмотра решений ИДЗ на смартфонах и ПК.
В MS Word (doc-формате) высылается дополнительно.
Отзывов от покупателей не поступало