Содержимое: 25v-IDZ8.2.pdf (95.38 KB)
Загружен: 08.07.2025

Положительные отзывы: 0
Отрицательные отзывы: 0

Продано: 3
Возвраты: 0

~ 120 ₽
Точная сумма — на странице оплаты
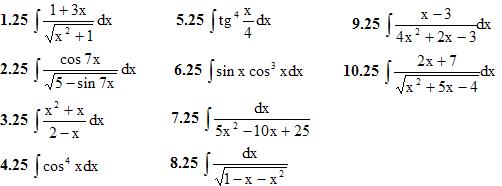
1. Найти неопределенные интегралы. (1-10)
10 примеров
Подробное решение. Оформлено в PDF-формате для удобства просмотра решений ИДЗ на смартфонах и ПК.
В MS Word (doc-формате) высылается дополнительно.
Отзывов от покупателей не поступало