Содержимое: 29v-IDZ8.4.pdf (112.78 KB)
Загружен: 08.07.2025

Положительные отзывы: 0
Отрицательные отзывы: 0

Продано: 7
Возвраты: 0

~ 140 ₽
Точная сумма — на странице оплаты
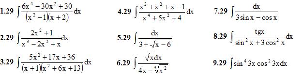
1. Найти неопределенные интегралы. (1-9)
9 примеров
Подробное решение. Оформлено в PDF-формате для удобства просмотра решений ИДЗ на смартфонах и ПК.
В MS Word (doc-формате) высылается дополнительно.
Отзывов от покупателей не поступало