Содержимое: 6v-IDZ9.1.pdf (113.02 KB)
Загружен: 09.07.2025

Положительные отзывы: 1
Отрицательные отзывы: 0

Продано: 14
Возвраты: 0

~ 120 ₽
Точная сумма — на странице оплаты
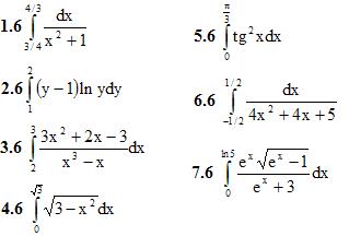
1. Вычислить определенные интегралы с точностью до двух знаков после запятой. (1-7)
2. Вычислить несобственные интегралы или доказать их расходимость: (1-2)
Подробное решение. Оформлено в PDF-формате для удобства просмотра решений ИДЗ на смартфонах и ПК.
В MS Word (doc-формате) высылается дополнительно.
26.05.2014 0:13:23
spasibo