Содержимое: 5v-IDZ10.2.pdf (94.19 KB)
Загружен: 09.07.2025

Положительные отзывы: 0
Отрицательные отзывы: 0

Продано: 3
Возвраты: 0

~ 110 ₽
Точная сумма — на странице оплаты
1. Найти уравнения касательной плоскости и нормали к заданной поверхности S в точке M0(x0, y0, z0)
1.5 S: 2x2 – y2 + z2 – 4z + y = 13, M0(2, 1, – 1)

2. Найти вторые частные производные указанных функций. Убедиться в том, что z”xy= z”yx
2.5 z = sin(x2 – y)

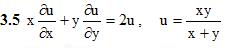
3. Проверить, удовлетворяет ли указанному уравнению данная функция u.
4. Исследовать на экстремум следующие функции.
4.5 z = x3 + y2 – 6xy – 39x + 18y +20

5. Найти наибольшее и наименьшее значения функции z=z(x, y) в области D, ограниченной заданными линиями.
5.5 z = x2 + 2xy – y2 – 4x, D: x – y + 1=0, x = 3, y = 0
Подробное решение. Оформлено в PDF-формате для удобства просмотра решений ИДЗ на смартфонах и ПК.
В MS Word (doc-формате) высылается дополнительно.
Отзывов от покупателей не поступало