Содержимое: 6v-IDZ10.2.pdf (91.20 KB)
Загружен: 09.07.2025

Положительные отзывы: 0
Отрицательные отзывы: 0

Продано: 5
Возвраты: 0

~ 110 ₽
Точная сумма — на странице оплаты
1. Найти уравнения касательной плоскости и нормали к заданной поверхности S в точке M0(x0, y0, z0)
1.6 S: x2 + y2 + z2 – 6y + 4z + 4 = 0, M0(2, 1, – 1)

2. Найти вторые частные производные указанных функций. Убедиться в том, что z”xy= z”yx
2.6 z = arctg(x + y)

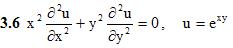
3. Проверить, удовлетворяет ли указанному уравнению данная функция u.
4. Исследовать на экстремум следующие функции.
4.6 z = 2x3 + 2y3 – 6xy + 5

5. Найти наибольшее и наименьшее значения функции z=z(x, y) в области D, ограниченной заданными линиями.
5.6 z = x2 + y2 – 2x – 2y +8, D: x = 0, y = 0, x + y – 1=0
Подробное решение. Оформлено в PDF-формате для удобства просмотра решений ИДЗ на смартфонах и ПК.
В MS Word (doc-формате) высылается дополнительно.
Отзывов от покупателей не поступало