1. Найти уравнения касательной плоскости и нормали к заданной поверхности S в точке M0(x0, y0, z0)
1.23 S: x2 – y2 – 2z2 – 2y = 0, M0(–1, –1, 1)
2. Найти вторые частные производные указанных функций. Убедиться в том, что z”xy= z”yx
2.23 z = arccos(x – 5y)
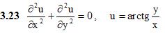
3. Проверить, удовлетворяет ли указанному уравнению данная функция u.
4. Исследовать на экстремум следующие функции.
4.23 z = x2 – xy + y2 + 9x – 6y + 20
5. Найти наибольшее и наименьшее значения функции z=z(x, y) в области D, ограниченной заданными линиями.
5.23 z = 4(x – y) – x2 – y2, D: x + 2y = 4, x – 2y = 4, x = 0
Подробное решение. Оформлено в PDF-формате для удобства просмотра решений ИДЗ на смартфонах и ПК.
В MS Word (doc-формате) высылается дополнительно.
Отзывов от покупателей не поступало