1. Найти уравнения касательной плоскости и нормали к заданной поверхности S в точке M0(x0, y0, z0)
1.25 S: 2x2 – y2 + z2 – 6x + 2y + 6 = 0, M0(1, –1, 1)
2. Найти вторые частные производные указанных функций. Убедиться в том, что z”xy= z”yx
2.25 z = cos(3x2 – y3)
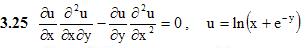
3. Проверить, удовлетворяет ли указанному уравнению данная функция u.
4. Исследовать на экстремум следующие функции.
4.25 z = x2 + y2 – xy + x + y
5. Найти наибольшее и наименьшее значения функции z=z(x, y) в области D, ограниченной заданными линиями.
5.25 z = 6xy – 9x2 – 9y2 + 4x + 4y, D: x = 0, x = 1, y = 0, y = 2
Подробное решение. Оформлено в PDF-формате для удобства просмотра решений ИДЗ на смартфонах и ПК.
В MS Word (doc-формате) высылается дополнительно.
Отзывов от покупателей не поступало