Содержимое: 10v-IDZ1.2.pdf (86.90 KB)
Загружен: 07.07.2025

Положительные отзывы: 0
Отрицательные отзывы: 0

Продано: 7
Возвраты: 0

80 ₽
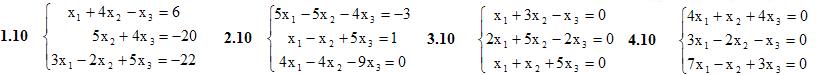
1. Проверить совместность системы уравнений и в случае совместности решить ее: а) по формулам Крамера; б) с помощью обратной матрицы (матричным методом); в) методом Гаусса.
2. Проверить совместность системы уравнений и в случае совместности решить ее: а) по формулам Крамера; б) с помощью обратной матрицы (матричным методом); в) методом Гаусса.
3. Решить однородную систему линейных алгебраических уравнений.
4. Решить однородную систему линейных алгебраических уравнений.
Подробное решение. Оформлено в PDF-формате для удобства просмотра решений ИДЗ на смартфонах и ПК.
В MS Word (doc-формате) высылается дополнительно.
Отзывов от покупателей не поступало