Содержимое: 17v-IDZ12.1.pdf (94.72 KB)
Загружен: 10.07.2025

Положительные отзывы: 0
Отрицательные отзывы: 0

Продано: 8
Возвраты: 0

~ 120 ₽
Точная сумма — на странице оплаты
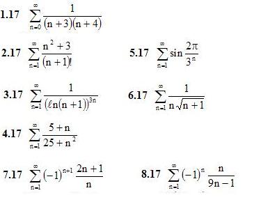
1. Доказать сходимость ряда и найти его сумму.

2. Исследовать на сходимость указанные ряды с положительными членами.(2-6)

Исследовать на сходимость и абсолютную сходимость знакочередующиеся ряды. (7-8)
Подробное решение. Оформлено в PDF-формате для удобства просмотра решений ИДЗ на смартфонах и ПК.
В MS Word (doc-формате) высылается дополнительно.
Отзывов от покупателей не поступало