Содержимое: 3v-IDZ12.2.pdf (89.04 KB)
Загружен: 10.07.2025

Положительные отзывы: 0
Отрицательные отзывы: 0

Продано: 14
Возвраты: 0

~ 140 ₽
Точная сумма — на странице оплаты
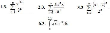
1. Найти область сходимости ряда. (1-3)

4. Разложить в ряд Маклорена функцию f(x). Указать область сходимости полученного ряда к этой функции.
4.3. f(x) = sinx2

5. Вычислить указанную величину приближенно с заданной степенью точности α, воспользовавшись разложением в степенной ряд соответствующим образом подобранной функции
5.3. sin 1, α=0,00001

6. Используя разложение подынтегральной функции в степенной ряд, вычислить указанный определенный интеграл с точностью до 0,001.


7. Найти разложение в степенной ряд по степеням x решения дифференциального уравнения (записать три первых, отличных от нуля, члена этого разложения)
7.3. y′ = x2 – y2, y(0) = 1/2

8. Методом последовательного дифференцирования найти первые k членов разложения в степенной ряд решения дифференциального уравнения при указанных начальных условиях.
8.3. y′ = x + y2, y(0) = 1, k = 3
Подробное решение. Оформлено в PDF-формате для удобства просмотра решений ИДЗ на смартфонах и ПК.
В MS Word (doc-формате) высылается дополнительно.
Отзывов от покупателей не поступало