Содержимое: 7v-IDZ12.2.pdf (94.63 KB)
Загружен: 10.07.2025

Положительные отзывы: 0
Отрицательные отзывы: 0

Продано: 15
Возвраты: 0

140 ₽
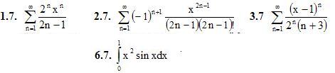
1. Найти область сходимости ряда. (1-3)

4. Разложить в ряд Маклорена функцию f(x). Указать область сходимости полученного ряда к этой функции.
4.7. f(x) = e3x

5. Вычислить указанную величину приближенно с заданной степенью точности α, воспользовавшись разложением в степенной ряд соответствующим образом подобранной функции
5.7. ch 2, α=0,0001

6. Используя разложение подынтегральной функции в степенной ряд, вычислить указанный определенный интеграл с точностью до 0,001.

7. Найти разложение в степенной ряд по степеням x решения дифференциального уравнения (записать три первых, отличных от нуля, члена этого разложения)
7.7. y′ = 2cosx – xy2, y(0) = 1

8. Методом последовательного дифференцирования найти первые k членов разложения в степенной ряд решения дифференциального уравнения при указанных начальных условиях.
8.7. y′′′ = y′′ + y′2 + y3 + x y(0) = 1, y′(0) = 2, y′′(0) =0,5, k = 6
Подробное решение. Оформлено в PDF-формате для удобства просмотра решений ИДЗ на смартфонах и ПК.
В MS Word (doc-формате) высылается дополнительно.
Отзывов от покупателей не поступало