Содержимое: 25v-IDZ12.2.pdf (90.27 KB)
Загружен: 10.07.2025

Положительные отзывы: 0
Отрицательные отзывы: 0

Продано: 2
Возвраты: 0

~ 140 ₽
Точная сумма — на странице оплаты
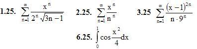
1. Найти область сходимости ряда. (1-3)

4. Разложить функцию f(x) в ряд Тейлора в окрестности указанной точки x0. Найти область сходимости полученного ряда к этой функции.
4.25 f(x) = 1/√4 + x, x0 = −3

5. Вычислить указанную величину приближенно с заданной степенью точности α, воспользовавшись разложением в степенной ряд соответствующим образом подобранной функции
5.25. 10√1080 , α=0,001

6. Используя разложение подынтегральной функции в степенной ряд, вычислить указанный определенный интеграл с точностью до 0,001.

7. Найти разложение в степенной ряд по степеням x решения дифференциального уравнения (записать три первых, отличных от нуля, члена этого разложения)
7.25. y′ = xy + x2 + y2, y(0) = 1

8. Методом последовательного дифференцирования найти первые k членов разложения в степенной ряд решения дифференциального уравнения при указанных начальных условиях.
8.25. y′′ = ycosy′ + x, y(0) = 1, y′(0) = π/3, k = 3
Подробное решение. Оформлено в PDF-формате для удобства просмотра решений ИДЗ на смартфонах и ПК.
В MS Word (doc-формате) высылается дополнительно.
Отзывов от покупателей не поступало