Содержимое: 17v-IDZ12.3.pdf (145.99 KB)
Загружен: 10.07.2025

Положительные отзывы: 0
Отрицательные отзывы: 0

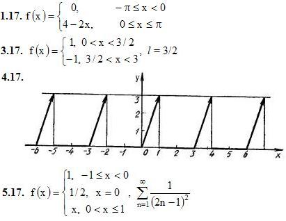
Продано: 11
Возвраты: 0

~ 140 ₽
Точная сумма — на странице оплаты
1. Разложить в ряд Фурье периодическую (с периодом ω=2π) функцию f(x) заданную на отрезке [-π; π]

2. Разложить в ряд Фурье функцию f(x), заданную в интервале (0; π) продолжив (доопределив) ее четным и нечетным образом. Построить графики для каждого продолжения.
2.17. f(x) = e−x/4

3. Разложить в ряд Фурье в указанном интервале периодическую функцию f(x) с периодом w=2l

4. Разложить в ряд Фурье функцию, заданную графически.

5. Воспользовавшись разложением функции f(x) в ряд Фурье в указанном интервале, найти сумму данного числового ряда.
Подробное решение. Оформлено в PDF-формате для удобства просмотра решений ИДЗ на смартфонах и ПК.
В MS Word (doc-формате) высылается дополнительно.
Отзывов от покупателей не поступало