Содержимое: 22v-IDZ12.3.pdf (134.26 KB)
Загружен: 10.07.2025

Положительные отзывы: 0
Отрицательные отзывы: 0

Продано: 13
Возвраты: 0

~ 140 ₽
Точная сумма — на странице оплаты
1. Разложить в ряд Фурье периодическую (с периодом ω=2π) функцию f(x) заданную на отрезке [-π; π]

2. Разложить в ряд Фурье функцию f(x), заданную в интервале (0; π) продолжив (доопределив) ее четным и нечетным образом. Построить графики для каждого продолжения.
2.22. f(x) = x2 + 1

3. Разложить в ряд Фурье в указанном интервале периодическую функцию f(x) с периодом w=2l
3.22. f(x) = 2x + 2, −2 < x < 2, l = 2

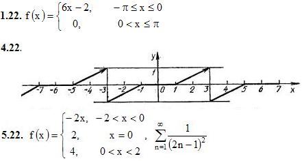
4. Разложить в ряд Фурье функцию, заданную графически.

5. Воспользовавшись разложением функции f(x) в ряд Фурье в указанном интервале, найти сумму данного числового ряда.
Подробное решение. Оформлено в PDF-формате для удобства просмотра решений ИДЗ на смартфонах и ПК.
В MS Word (doc-формате) высылается дополнительно.
Отзывов от покупателей не поступало