Термех Диевский В.А. задача Кинематика 1 (К1) на тему «Кинематика точки»:
В соответствии с заданными уравнениями движения (варианты 1 - 30) определить траекторию движения точки. Для заданного момента времени t найти положение точки на траектории, ее скорость и ускорение (показать их на рисунке), а также радиус кривизны траектории в соответствующей точке. Данные, необходимые для вычисления, представлены ниже. Координаты х и у даны в метрах, время в секундах.
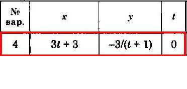
Решение задачи К1 строка данных из таблицы 4
Cразу после оплаты Вы получите ссылку на архив с решением задачи по теоретической механике К1 В4 (строка данных 4) из сборника заданий «теоретическая механика» Диевский В.А., Малышева И.А. 2009 года для студентов ВУЗов.
Задача выполнена в формате word (рукописное решение или набрано в ворде), запакована в архив zip (откроется на любом ПК).
После проверки решения буду очень признателен, если вы оставите положительный отзыв.