Содержимое: k1-98.zip (26.19 KB)
Загружен: 24.03.2016

Положительные отзывы: 0
Отрицательные отзывы: 0

Продано: 2
Возвраты: 0

Продавец: TerMaster
информация о продавце и его товарах

Задать вопрос

Cкидка постоянным покупателям! Если общая сумма ваших покупок у продавца больше чем:

$1 скидка 1%
$3 скидка 2%
$5 скидка 3%
$15 скидка 5%
$30 скидка 7%
$50 скидка 10%
$250 скидка 15%
~ 101 ₽
Точная сумма — на странице оплаты
"Решение задания К1 Вариант 98 из решебника по теоретической механике методички Тарга С.М. 1982 года.
Сверьте условие к задаче С3 (стр. 32 в методичке Тарг С.М. 1982):
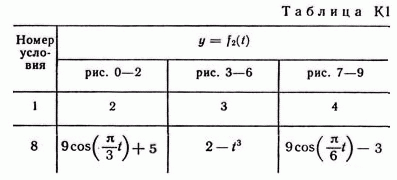
Точка В движется в плоскости xy (рис. К1.0 — К 1.9, табл. К1; траектория точки на рисунках показана условно). Закон движения точки задается уравнениями: x = f1(t), y = f2, где x и y выражены в сантиметрах, t — в секундах.
Необходимо найти уравнение траектории точки для момента времени t1 = 1 с определить скорость и ускорение точки, а также ее касательное и нормальное ускорения и радиус кривизны в соответствующей точке траектории.
Зависимость x = f1(t) указана непосредственно на рисунках, а зависимость y = f2 дана в табл. K1 (для рис. 0—2 в столбце 2, для рис. 3—6 в столбце 3, для рис. 7—9 в столбце 4)."
Cразу после оплаты Вы получите решение задачи К1 вариант 98 по теоретической механике из решебника С.М. Тарг 1982 года. Задача выполнена по методическим указаниям и контрольным заданиям для студентов-заочников строительных, транспортных, машиностроительных и приборостроительных специальностей ВУЗов.

Решение оформлено в формате word.

Буду очень благодарен, если после получения работы Вы вернетесь на сайт и оставите положительный отзыв (отзыв можно оставить в любой момент перейдя по уникальной ссылке, полученной после оплаты). Это поможет сделать сервис лучше.
Заранее спасибо.
Отзывов от покупателей не поступало