Содержимое: d1-76.doc.RAR (27.35 KB)
Загружен: 29.04.2016

Положительные отзывы: 0
Отрицательные отзывы: 0

Продано: 0
Возвраты: 0

Продавец: Михаил_Перович
информация о продавце и его товарах

Задать вопрос

Cкидка постоянным покупателям! Если общая сумма ваших покупок у продавца больше чем:

$1 скидка 1%
$5 скидка 2%
$10 скидка 3%
$20 скидка 5%
$50 скидка 7%
$100 скидка 10%
$200 скидка 15%
~ 56 ₽
Точная сумма — на странице оплаты
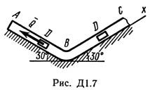
Решение Д1-76 (Рисунок Д1.7 условие 6 С.М. Тарг 1989 г)

Груз D массой m, получив в точке A начальную скорость v0 движется в изогнутой трубе AВС, расположенной в вертикальной плоскости; участки трубы или оба наклонные, или один горизонтальный, а другой наклонный (рис. Д1.0 — Д1.9, табл. Д1). На участке AВ на груз кроме силы тяжести действуют постоянная сила Q (ее направление показано на рисунках) и сила сопротивления среды R, зависящая от скорости v груза (направлена против движения); трением груза о трубу на участке AВ пренебречь. В точке В груз, не изменяя своей скорости, переходит на участок ВС трубы, где на него кроме силы тяжести действуют сила трения (коэффициент трения груза о трубу f = 0,2) и переменная сила F, проекция которой Fx на ось х задана в таблице. Считая груз материальной точкой и зная расстояние AВ = l или время t1 движения груза от точки А до точки В, найти закон движения груза на участке ВС, т. е. х = f(t), где х = BD.
Отзывов от покупателей не поступало