Содержимое: 6v-IDZ13.1.pdf (112.67 KB)
Загружен: 10.07.2025

Положительные отзывы: 0
Отрицательные отзывы: 0

Продано: 7
Возвраты: 0

~ 130 ₽
Точная сумма — на странице оплаты
1. Представить двойной интеграл в виде повторного интеграла с внешним интегрированием по х и внешним интегрированием по y, если область D задана указанными линиями.

1.6. D: y = √2 − x2, y = x2

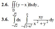
2. Вычислить двойной интеграл по области D, ограниченной указанными линиями.

D: y = x, y = x2

3. Вычислить двойной интеграл, используя полярные координаты.

4. Вычислить площадь плоской области D, ограниченной заданными линями.

4.6. D: y = x2 + 1, x + y = 3

5. С помощью двойных интегралов вычислить в полярных координатах площадь плоской фигуры, ограниченной указанными линиями.

5.6. ρ = asin22φ

6. Вычислить объем тела, ограниченного заданными поверхностями.

6.6. z = x, y = 4, x = √25 − y2, x ≥ 0, y ≥ 0, z ≥ 0
Подробное решение. Оформлено в PDF-формате для удобства просмотра решений ИДЗ на смартфонах и ПК.
В MS Word (doc-формате) высылается дополнительно.
Отзывов от покупателей не поступало