Содержимое: 11v-IDZ13.1.pdf (108.09 KB)
Загружен: 10.07.2025

Положительные отзывы: 0
Отрицательные отзывы: 0

Продано: 5
Возвраты: 0

~ 130 ₽
Точная сумма — на странице оплаты
1. Представить двойной интеграл в виде повторного интеграла с внешним интегрированием по х и внешним интегрированием по y, если область D задана указанными линиями.

1.11. D: y2 = 2 – x, y = x

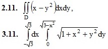
2. Вычислить двойной интеграл по области D, ограниченной указанными линиями.

D: y = x2, y = 1

3. Вычислить двойной интеграл, используя полярные координаты.

4. Вычислить площадь плоской области D, ограниченной заданными линями.

4.11. D: y = 4x2, 9y = x2, y ≤ 2

5. С помощью двойных интегралов вычислить в полярных координатах площадь плоской фигуры, ограниченной указанными линиями.

5.11. (x2 + y2)2 = a2 (7x2 + 5y2)

6. Вычислить объем тела, ограниченного заданными поверхностями.

6.11. 2x + 3y – 12 = 0, 2z = y2, x ≥ 0, y ≥ 0, z ≥ 0
Подробное решение. Оформлено в PDF-формате для удобства просмотра решений ИДЗ на смартфонах и ПК.
В MS Word (doc-формате) высылается дополнительно.
Отзывов от покупателей не поступало