Содержимое: 14v-IDZ13.1.pdf (108.83 KB)
Загружен: 10.07.2025

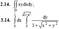
Положительные отзывы: 0
Отрицательные отзывы: 0

Продано: 11
Возвраты: 0

~ 130 ₽
Точная сумма — на странице оплаты
1. Представить двойной интеграл в виде повторного интеграла с внешним интегрированием по х и внешним интегрированием по y, если область D задана указанными линиями.

1.14. D: x ≤ 0, y ≥ 1, y ≤ 3, y = – x.

2. Вычислить двойной интеграл по области D, ограниченной указанными линиями.

D: y = x3, y = 0, x ≤ 2

3. Вычислить двойной интеграл, используя полярные координаты.

4. Вычислить площадь плоской области D, ограниченной заданными линями.

4.14. D: y = √2 − x2, y = x2

5. С помощью двойных интегралов вычислить в полярных координатах площадь плоской фигуры, ограниченной указанными линиями.

5.14. (x2 + y2)3 = a4y2

6. Вычислить объем тела, ограниченного заданными поверхностями.

6.14. z = 3x2 + 2y2 + 1, y = x2 – 1, y = 1, z ≥ 0
Подробное решение. Оформлено в PDF-формате для удобства просмотра решений ИДЗ на смартфонах и ПК.
В MS Word (doc-формате) высылается дополнительно.
Отзывов от покупателей не поступало