Содержимое: 23v-IDZ13.1.pdf (122.95 KB)
Загружен: 10.07.2025

Положительные отзывы: 0
Отрицательные отзывы: 0

Продано: 2
Возвраты: 0

~ 130 ₽
Точная сумма — на странице оплаты
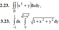
1. Представить двойной интеграл в виде повторного интеграла с внешним интегрированием по х и внешним интегрированием по y, если область D задана указанными линиями.

1.23. D: y = 3 – x2, y = –x

2. Вычислить двойной интеграл по области D, ограниченной указанными линиями.

D: x + y = 1, x + y = 2, x ≤ 1, x ≥ 0

3. Вычислить двойной интеграл, используя полярные координаты.

4. Вычислить площадь плоской области D, ограниченной заданными линями.

4.23. D: x = cosy, x ≤ y + 1, x ≥ 0

5. С помощью двойных интегралов вычислить в полярных координатах площадь плоской фигуры, ограниченной указанными линиями.

5.23. (x2 + y2)3 = 4a2xy (x2 – y2)

6. Вычислить объем тела, ограниченного заданными поверхностями.

6.23. y = 1 – z2, y = x, y = –x, y ≥ 0, z ≥ 0
Подробное решение. Оформлено в PDF-формате для удобства просмотра решений ИДЗ на смартфонах и ПК.
В MS Word (doc-формате) высылается дополнительно.
Отзывов от покупателей не поступало