Содержимое: 2v-IDZ15.1.pdf (112.32 KB)
Загружен: 10.07.2025

Положительные отзывы: 0
Отрицательные отзывы: 0

Продано: 2
Возвраты: 0

~ 120 ₽
Точная сумма — на странице оплаты
1. Дана функция u(M) = u(x, y, z) и точки M1, M2. Вычислить: 1) производную этой функции в точке M1 по направлению вектора M1M2; 2) grad u(M1)

1.2. u(M) = 5xy3z2, M1(2, 1, −1), M2(4, −3, 0)

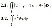
2. Вычислить поверхностный интеграл первого рода по поверхности S, где S – часть плоскости (p), отсеченная координатными плоскостями.

(p): 2x – y – 2z = –2

3. Вычислить поверхностный интеграл второго рода.

где S – внешняя сторона поверхности эллипсоида x2 + y2 + 2z2 = 2

4. Вычислить поток векторного поля a(M) через внешнюю поверхность пирамиды, образуемую плоскостью (p) и координатными плоскостями, двумя способами: а) использовав определение потока; б) с помощью формулы Остроградского – Гаусса.

4.2. а(M) = (3x – 1)i + (y – x + z)j + 4zk, (p): 2x – y – 2z = 2
Подробное решение. Оформлено в PDF-формате для удобства просмотра решений ИДЗ на смартфонах и ПК.
В MS Word (doc-формате) высылается дополнительно.
Отзывов от покупателей не поступало