Содержимое: 13v-IDZ15.1.pdf (110.71 KB)
Загружен: 10.07.2025

Положительные отзывы: 0
Отрицательные отзывы: 0

Продано: 0
Возвраты: 0

120 ₽
1. Дана функция u(M) = u(x, y, z) и точки M1, M2. Вычислить: 1) производную этой функции в точке M1 по направлению вектора M1M2; 2) grad u(M1)

1.13. u(M) = x2 + y2 + z2 – 2xyz, M1(1, –1, 2), M2(5, –1, 4)

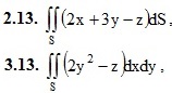
2. Вычислить поверхностный интеграл первого рода по поверхности S, где S – часть плоскости (p), отсеченная координатными плоскостями.

(p): 2x + y + z = 2

3. Вычислить поверхностный интеграл второго рода.

где S – часть поверхности параболоида z = x2 + y2 (нормальный вектор n которой образует тупой угол с ортом k), отсекаемая плоскостью z = 2.

4. Вычислить поток векторного поля a(M) через внешнюю поверхность пирамиды, образуемую плоскостью (p) и координатными плоскостями, двумя способами: а) использовав определение потока; б) с помощью формулы Остроградского – Гаусса.

4.13. а(M) = (x + 2z)i + (y – 3z)j + zk, (p): 3x + 2y + 2z = 6
Подробное решение. Оформлено в PDF-формате для удобства просмотра решений ИДЗ на смартфонах и ПК.
В MS Word (doc-формате) высылается дополнительно.
Отзывов от покупателей не поступало