Содержимое: 17v-IDZ15.1.pdf (118.25 KB)
Загружен: 10.07.2025

Положительные отзывы: 0
Отрицательные отзывы: 0

Продано: 2
Возвраты: 0

~ 120 ₽
Точная сумма — на странице оплаты
1. Дана функция u(M) = u(x, y, z) и точки M1, M2. Вычислить: 1) производную этой функции в точке M1 по направлению вектора M1M2; 2) grad u(M1)

1.17. u(M) = x – 2y + ez, M1(–4, –5, 0), M2(2, 3, 4)

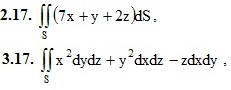
2. Вычислить поверхностный интеграл первого рода по поверхности S, где S – часть плоскости (p), отсеченная координатными плоскостями.

(p): 3x – 2y + 2z = 6

3. Вычислить поверхностный интеграл второго рода.

где S – часть поверхности конуса z2 = x2 + y2 (нормальный вектор n которой образует острый угол с ортом k), отсекаемая плоскостями z = 0 и z = 3.

4. Вычислить поток векторного поля a(M) через внешнюю поверхность пирамиды, образуемую плоскостью (p) и координатными плоскостями, двумя способами: а) использовав определение потока; б) с помощью формулы Остроградского – Гаусса.

4.17. а(M) = (x + y)i + (y + z)j + 2(z + x)k, (p): 3x – 2y + 2z = 6
Подробное решение. Оформлено в PDF-формате для удобства просмотра решений ИДЗ на смартфонах и ПК.
В MS Word (doc-формате) высылается дополнительно.
Отзывов от покупателей не поступало