Содержимое: 18v-IDZ15.1.pdf (115.94 KB)
Загружен: 10.07.2025

Положительные отзывы: 0
Отрицательные отзывы: 0

Продано: 2
Возвраты: 0

120 ₽
1. Дана функция u(M) = u(x, y, z) и точки M1, M2. Вычислить: 1) производную этой функции в точке M1 по направлению вектора M1M2; 2) grad u(M1)

1.18. u(M) = xy – 3xyz, M1(2, 2, –4), M2(1, 0, –3)

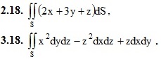
2. Вычислить поверхностный интеграл первого рода по поверхности S, где S – часть плоскости (p), отсеченная координатными плоскостями.

(p): 2x + 3y + z = 6

3. Вычислить поверхностный интеграл второго рода.

где S – часть поверхности параболоида z = 3 – x2 – y2 (нормальный вектор n которой образует острый угол с ортом k), отсекаемая плоскостью z = 0.

4. Вычислить поток векторного поля a(M) через внешнюю поверхность пирамиды, образуемую плоскостью (p) и координатными плоскостями, двумя способами: а) использовав определение потока; б) с помощью формулы Остроградского – Гаусса.

4.18. а(M) = (x + y + z)i + 2zj + (y – 7z)k, (p): 2x + 3y + z = 6
Подробное решение. Оформлено в PDF-формате для удобства просмотра решений ИДЗ на смартфонах и ПК.
В MS Word (doc-формате) высылается дополнительно.
Отзывов от покупателей не поступало