Содержимое: 21v-IDZ15.1.pdf (117.39 KB)
Загружен: 10.07.2025

Положительные отзывы: 0
Отрицательные отзывы: 0

Продано: 4
Возвраты: 0

~ 120 ₽
Точная сумма — на странице оплаты
1. Дана функция u(M) = u(x, y, z) и точки M1, M2. Вычислить: 1) производную этой функции в точке M1 по направлению вектора M1M2; 2) grad u(M1)

1.21. u(M) = xyz, M1(3, 1, 4), M2(1, –1, –1)

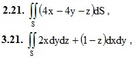
2. Вычислить поверхностный интеграл первого рода по поверхности S, где S – часть плоскости (p), отсеченная координатными плоскостями.

(p): x + 2y + 2z = 4

3. Вычислить поверхностный интеграл второго рода.

где S – внутренняя сторона цилиндра x2 + y2 = 4, отсекаемая плоскостями z = 0 и z = 1

4. Вычислить поток векторного поля a(M) через внешнюю поверхность пирамиды, образуемую плоскостью (p) и координатными плоскостями, двумя способами: а) использовав определение потока; б) с помощью формулы Остроградского – Гаусса.

4.21. а(M) = (2z – x)i + (x – y)j + (3x + z)k, (p): x + y + 2z = 2
Подробное решение. Оформлено в PDF-формате для удобства просмотра решений ИДЗ на смартфонах и ПК.
В MS Word (doc-формате) высылается дополнительно.
Отзывов от покупателей не поступало