1. Дана функция u(M) = u(x, y, z) и точки M1, M2. Вычислить: 1) производную этой функции в точке M1 по направлению вектора M1M2; 2) grad u(M1)
1.28. u(M) = x3 + xy2 – 6xyz, M1(1, 3, –5), M2(4, 2, –2)
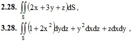
2. Вычислить поверхностный интеграл первого рода по поверхности S, где S – часть плоскости (p), отсеченная координатными плоскостями.
(p): 2x + 2y + z = 2
3. Вычислить поверхностный интеграл второго рода.
где S – часть поверхности конуса x2 + y2 = z2 (нормальный вектор n которой образует тупой угол с ортом k), отсекаемая плоскостями z = 0 и z = 4.
4. Вычислить поток векторного поля a(M) через внешнюю поверхность пирамиды, образуемую плоскостью (p) и координатными плоскостями, двумя способами: а) использовав определение потока; б) с помощью формулы Остроградского – Гаусса.
4.28. а(M) = (y + z)i + xj + (y – 2z)k, (p): 2x + 2y + z = 2
Подробное решение. Оформлено в PDF-формате для удобства просмотра решений ИДЗ на смартфонах и ПК.
В MS Word (doc-формате) высылается дополнительно.
Отзывов от покупателей не поступало