Содержимое: 20v-IDZ13.2.pdf (97.96 KB)
Загружен: 10.07.2025

Положительные отзывы: 0
Отрицательные отзывы: 0

Продано: 2
Возвраты: 0

~ 100 ₽
Точная сумма — на странице оплаты
1. Расставить пределы интегрирования в тройном интеграле если область V ограничена указанными поверхностями. Начертить область интегрирования

1.20. V: x ≥ 0, y ≥ 0, z ≥ 0, 3x + 2y = 6, z = x2 + y2

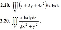
2. Вычислить данные тройные интегралы.

V: −1 ≤ x ≤ 2, 0 ≤ y ≤ 1, 1 ≤ z ≤ 2

3. Вычислить тройной интеграл с помощью цилиндрических или сферических координат.

, υ: x2 + y2 = 2x, x2 + y2 = 4x, z ≥ 0, z = 4, y ≥ 0, y ≤ x

4. С помощью тройного интеграла вычислить объем тела, ограниченного указанными поверхностями. Сделать чертеж.

4.20. y ≥ 0, z ≥ 0, y = 4, z = x, x = √25 − y2
Подробное решение. Оформлено в PDF-формате для удобства просмотра решений ИДЗ на смартфонах и ПК.
В MS Word (doc-формате) высылается дополнительно.
Отзывов от покупателей не поступало