Содержимое: 1v-IDZ14.1.pdf (94.78 KB)
Загружен: 10.07.2025

Положительные отзывы: 0
Отрицательные отзывы: 0

Продано: 5
Возвраты: 0

~ 100 ₽
Точная сумма — на странице оплаты
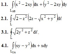
1. Вычислить данные криволинейные интегралы (1-4)

, где LAB – дуга параболы y = x2 от точки А(−1, 1) до точки B(1, 1).

, где L – дуга кривой x = tcost, y = tsint, z = t, 0 ≤ t ≤ 2π

, где L – окружность x2 + y2 + z2 = a2, x = y

, где LOA – дуга параболы y = 2x2 от точки O(0, 0) до точки A(1, 2)
Подробное решение. Оформлено в PDF-формате для удобства просмотра решений ИДЗ на смартфонах и ПК.
В MS Word (doc-формате) высылается дополнительно.
Отзывов от покупателей не поступало