Содержимое: 4v-IDZ14.1.pdf (90.88 KB)
Загружен: 10.07.2025

Положительные отзывы: 0
Отрицательные отзывы: 0

Продано: 7
Возвраты: 0

~ 100 ₽
Точная сумма — на странице оплаты
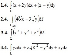
1. Вычислить данные криволинейные интегралы (1-4)

, где L – окружность x = 2cost, y = 2sint при положительном направлении обхода.

, где LAB – отрезок прямой AB; A(–1; 0); B(0; 1).

, где L – дуга кривой x = acost, y = asint, z = bt, 0 ≤ t ≤ 2π.

, где L – дуга кривой x = Rcost, y = Rsint, z = at/(2π), «пробегаемая» от точки пересечения ее с плоскостью z = 0 до точки пересечения ее с плоскостью z = a.
Подробное решение. Оформлено в PDF-формате для удобства просмотра решений ИДЗ на смартфонах и ПК.
В MS Word (doc-формате) высылается дополнительно.
Отзывов от покупателей не поступало