Содержимое: 5v-IDZ14.1.pdf (86.48 KB)
Загружен: 10.07.2025

Положительные отзывы: 0
Отрицательные отзывы: 0

Продано: 4
Возвраты: 0

~ 100 ₽
Точная сумма — на странице оплаты
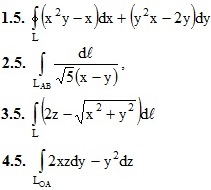
1. Вычислить данные криволинейные интегралы (1-4)

, где L – дуга эллипса x = 3cost, y = 2sint при положительном направлении обхода.

, где LAB – отрезок прямой, заключенный между точками A(0, 4) и B(4, 0)

, где L – первый виток конической винтовой линии x = tcost, y = tsint, z = t.

, где LOA – дуга параболы z = x2/4 от точки O(0, 0, 0) до точки A(2, 0, 1).
Подробное решение. Оформлено в PDF-формате для удобства просмотра решений ИДЗ на смартфонах и ПК.
В MS Word (doc-формате) высылается дополнительно.
Отзывов от покупателей не поступало