Содержимое: 6v-IDZ14.1.pdf (108.38 KB)
Загружен: 10.07.2025

Положительные отзывы: 0
Отрицательные отзывы: 0

Продано: 4
Возвраты: 0

~ 100 ₽
Точная сумма — на странице оплаты
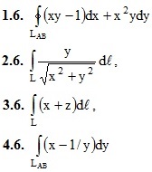
1. Вычислить данные криволинейные интегралы (1-4)

, где LAB – дуга эллипса x = cost, y = 2sint от точки А(1, 0) до точки B(0, 2)

, где L – дуга кардиоиды ρ = 2(1 + cosφ), 0 ≤ φ ≤ π/2

, где L – дуга кривой x = t, y = 3/√2t2, z = t3, 0 ≤ t ≤ 1.

, где LAB – дуга параболы y = x2 от точки A(1, 1) до точки B(2, 4)
Подробное решение. Оформлено в PDF-формате для удобства просмотра решений ИДЗ на смартфонах и ПК.
В MS Word (doc-формате) высылается дополнительно.
Отзывов от покупателей не поступало