Содержимое: 7v-IDZ14.1.pdf (98.27 KB)
Загружен: 10.07.2025

Положительные отзывы: 0
Отрицательные отзывы: 0

Продано: 2
Возвраты: 0

100 ₽
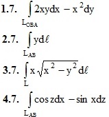
1. Вычислить данные криволинейные интегралы (1-4)

, где LOBA – ломаная OBA; O(0, 0); B(2, 0); A(2, 1)

, где LAB – дуга астроиды x = cos3t, y = sin3t, заключенная между точками A(1, 0) и B(0, 1).

, где L – кривая (x2 + y2)2 = a2 (x2 – y2), x ≥ 0.

, где LAB – отрезок прямой, соединяющий точки A(2, 0, –2) и B(–2, 0, 2).
Подробное решение. Оформлено в PDF-формате для удобства просмотра решений ИДЗ на смартфонах и ПК.
В MS Word (doc-формате) высылается дополнительно.
Отзывов от покупателей не поступало