Содержимое: 8v-IDZ14.1.pdf (98.05 KB)
Загружен: 10.07.2025

Положительные отзывы: 0
Отрицательные отзывы: 0

Продано: 6
Возвраты: 0

100 ₽
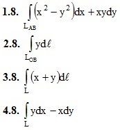
1. Вычислить данные криволинейные интегралы (1-4)

, где LAB – отрезок прямой AB, А(1, 1); B(3, 4).

, где LOB – дуга параболы y2 = 2/3x между точками O(0, 0) и B(√35/6, √35/3)

, где L – первый виток лемнискаты ρ2 = a2cos2φ.

, где L – четверть дуги окружности x = Rcost, y = Rsint, лежащая в первом квадранте и «пробегаемая» против хода часовой стрелки.
Подробное решение. Оформлено в PDF-формате для удобства просмотра решений ИДЗ на смартфонах и ПК.
В MS Word (doc-формате) высылается дополнительно.
Отзывов от покупателей не поступало