Содержимое: 11v-IDZ14.1.pdf (90.04 KB)
Загружен: 10.07.2025

Положительные отзывы: 0
Отрицательные отзывы: 0

Продано: 1
Возвраты: 0

~ 100 ₽
Точная сумма — на странице оплаты
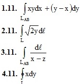
1. Вычислить данные криволинейные интегралы (1-4)

, где LAB – дуга кубической параболы y = x3 от точки A(0, 0) до точки B(1, 1).

, где L – первая арка циклоиды x = 2(t – sint), y = 2(1 – cost).

, где LAB – отрезок прямой z = x/2 – 2, y = 0, соединяющий точки A(0, 0, –2) и B(4, 0, 0).

, где L – контур треугольника, образованного прямыми y = x, x = 2, y = 0 при положительном направлении обхода контура.
Подробное решение. Оформлено в PDF-формате для удобства просмотра решений ИДЗ на смартфонах и ПК.
В MS Word (doc-формате) высылается дополнительно.
Отзывов от покупателей не поступало