Содержимое: 12v-IDZ14.1.pdf (98.63 KB)
Загружен: 10.07.2025

Положительные отзывы: 0
Отрицательные отзывы: 0

Продано: 4
Возвраты: 0

~ 100 ₽
Точная сумма — на странице оплаты
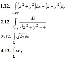
1. Вычислить данные криволинейные интегралы (1-4)

, где LABC – ломаная ABC; A(1, 2); B(3, 2); C(3, 5)

, где LOA – отрезок прямой, соединяющий точки O(0, 0) и A(1, 2)

, где L – первая арка циклоиды x = a(t – sint), y = a(1 – cost).

, где L – дуга синусоиды y = sinx от точки (π, 0) до точки (0, 0).
Подробное решение. Оформлено в PDF-формате для удобства просмотра решений ИДЗ на смартфонах и ПК.
В MS Word (doc-формате) высылается дополнительно.
Отзывов от покупателей не поступало