Содержимое: 13v-IDZ14.1.pdf (104.52 KB)
Загружен: 10.07.2025

Положительные отзывы: 0
Отрицательные отзывы: 0

Продано: 1
Возвраты: 0

~ 100 ₽
Точная сумма — на странице оплаты
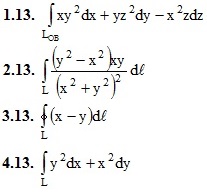
1. Вычислить данные криволинейные интегралы (1-4)

, где LOB – отрезок прямой OB; O(0, 0, 0); B(–2, 4, 5)

, где L – дуга кривой ρ = 9sin2φ, 0 ≤ φ ≤ π/4

, где L – окружность x2 + y2 = ax.

, где L – верхняя половина эллипса x = acost, y = bsint, «пробегаемая» по ходу часовой стрелки.
Подробное решение. Оформлено в PDF-формате для удобства просмотра решений ИДЗ на смартфонах и ПК.
В MS Word (doc-формате) высылается дополнительно.
Отзывов от покупателей не поступало